gbw-animation Effective Pressure

 

Idea
purpose, advantages, inventor

 

Research
comminution, material throughput, pressure distribution, modelling

 

Praxis
plant configuration, roller wear, references

 

Literature
literature survey, references

 

Other Links
links to suppliers, universities and other institutions

AGB 

Contact
for any questions please contact us

 

Site-Map
all pages at a glance

 

 

Effective Pressure and Specific Grinding Force

The pressure distribution in the gap is two-dimensional and therefore the comminution effect is different in different roller layers. It seems reasonable to use the effective pressure peff (as it was introduced in the previous chapter) as an indicator for the load intensity and to correlate peff with the specific grinding force Fsp.

Already in previous publications this correlation was discussed with the intention to estimate the maximum pressure which has to be expected in the gap [21,22,2]. The axial pressure distribution was not known at that time; therefore it was not considered and the following simplified formula was developed:

dF = (D L / 2) p(a) cos(a) da

Under the precondition that the compression angle a0 and the relaxation angle g stay small the cos a can be set to 1. The pressure distribution can be calculated then as product of the maximum pressure pm and an angle depending function f(a).

dF = (D L / 2) pm f(a) da

The result of the integration can be written as:

Fsp = pm a0 cF

The value of cF results from the integration of the pressure diagram and is equal to the later used expression I(k), see formulas below.The result shown in [21,22] is based on the following three conditions: (1.) Approximation of the pressure distribution by potential function with a maximum at a = 0, (2.) variation of the exponent between three and five, (3.) relaxation is neglected. The value of cF is then between 0.19 and 0.23. For a first estimation of pm it is proposed to use cF = 0.2. In [2] a compression function is introduced which is also mentioned in the literature overview chapter of this website and which considers a relaxation of 0 to 5 %:

q = 1 - exp [- (p/pc)n]

The results are shown in form of diagrams which lead to cF-values of 0.22 to 0.31 when a relaxation of 5 % is considered.

Taking into account a two-dimensional pressure distribution p(a,l) the deducted formula is as follows (see also picture below):

d2F = (D L / 2) p(a,l) cos(a) da dl

In this case cosinus can be set to 1 as well. The specific grinding force as a result of a double integration is then:

Comminution
grinding results for different materials

Throughput
characteristic of different rollers

Pressure Distribution
literature pressure distribution, pressure diagrams, peripheral pressure distribution, axial pressuredistrib., effective pressure and specific grinding force, compression angle and specific throughput

Press Tests
tests with a molding press

Modelling
mathematic model of the process

Signs and Symbols
nomenclature

For the calculation of the integral p(a,l) as well as a0 and g must be known. A difficulty is that a0 and g may principally depend on l and Fsp. Nevertheless the tests have shown only weak dependencies. Therefore in the following the independency of  l and Fsp is assumed. The tests also show - and it will be proven later - that the pressure distribution can be expressed as an approximation by a product of two one-parametrical functions. Then the double integral  can be transformed into a product of two single integrals:

p(a,l) =  pm(l)  f(a)                                                                             (18)

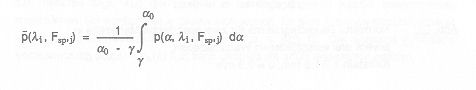
The first integral is the determination equation for the effective pressure peff:

Of course the axial pressure distribution is impacted by the relations of roller length to roller diameter, roller diameter to particle size and the geometrical situation at the roller edge. The effective pressure is therefore principally depending on those parameters:

peff = peff(L/D, D/x, edge)

These influences are still unknown and need further investigation.

At this point the normalized angle coordinate q = a/a0 is introduced and the relation (g/a0) is named k. With these definitions it follows:

With this transformation we have an equation to determine the integral expression.

I(k) = Fsp / peff a0

As a conclusion the integral expression I(k) which characterizes the proportionality between effective pressure and specific grinding force can be calculated from the measured parameters peff ,Fsp and a0, see table with calculated values of I(k).With exception of the first value I(k) lies between 0.26 and 0.30, is therefore almost constant and fits well into the the range given by the calculation modell in [2]. A possible explanation for the higher value of 0.40 for the quartz fraction and the smallest specific grinding force of 1.5 N/mm² can be given by the bigger pressure measurement variations and the smaller number of pressure measurements. High Compression Roller Mills are usually working with specific grinding force between 2.5 and 6.0 N/mm². For this range a value of I(k) results which is independent of material and particle size for the tested quartz and limestone fractions.

To prove that the splitting of the pressure distribution p(a,l) according equation (18) is allowed the preipheral pressure distributions of the tests with limestone fractions 1.2/1.8 mm are used, see following diagrams. Out of the six measured pressure distributions

p(a, li, Fsp,j)            with l1 = 0 / l2 = 0.19 / l3 = 0.38                                                                        as well as Fsp,1 = 2.9 N/mm² and Fsp,2 = 4.3 N/mm²

the integral average values are calculated in a first step:

Averaged pressure diagrams in three different roller layers for limestone 1.2/1.8 mm, u = 0.3 m/s.

With these the averaged average can be calculated

and the normalizing factors ti,j:

With this the following normalized pressure distributions can be calculated

which are shown in the following diagram.

Normalized pressure diagrams for two specific grinding forces and in three different roller layers each, for limestone 1.2/1.8 mm, u = 0.3 m/s.

In fact some tendencies can be seen (e.g. pressure distribution at l = 0.38 slightly above the others) but the confidence intervals for the previously discussed statistical variations on a probability of error level of 5 % are overlapping, see following diagram. Therefore the required precondition that p(a,l) =  pm(l)  f(a) can be seen as fulfilled.

95 %-confidence intervalsfor the normalized pressure distributions above

[HCRM-Home] [Idea] [Research] [Praxis] [Literature] [Other Links] [Contact] [Site-Map]

For any questions or remarks please contact the Webmaster.
© Copyright 1992, Dr. Uwe Lubjuhn, all rights reserved